Peach Blossom Story
NYMPH MAINTENANCE STICKER
1box * 12pcs / 50upv
RM218.40
Available In Other Currencies
US
USD
- US Dollar
$52.00
Product Description


Instructions for Use
Wash your hands and take out the product. Apply it to the lower abdomen at the kidney meridian area, ensuring it adheres flat without lifting at the corners. Under normal circumstances, replace with a new patch every 4–6 hours.
Precautions
- Use with caution if you have allergies.
- Recommended application time: 12 hours.
Storage Method
Store in a cool, dry, and well-ventilated place, away from light.
Ingredients
Pure cotton knitted fabric, lint-free paper, snow lotus, safflower, stemona root, prepared rehmannia root, borneol, ligusticum chuanxiong, salvia root, phellodendron bark, kochia scoparia, smilax glabra, angelica root,
sour jujube seed.
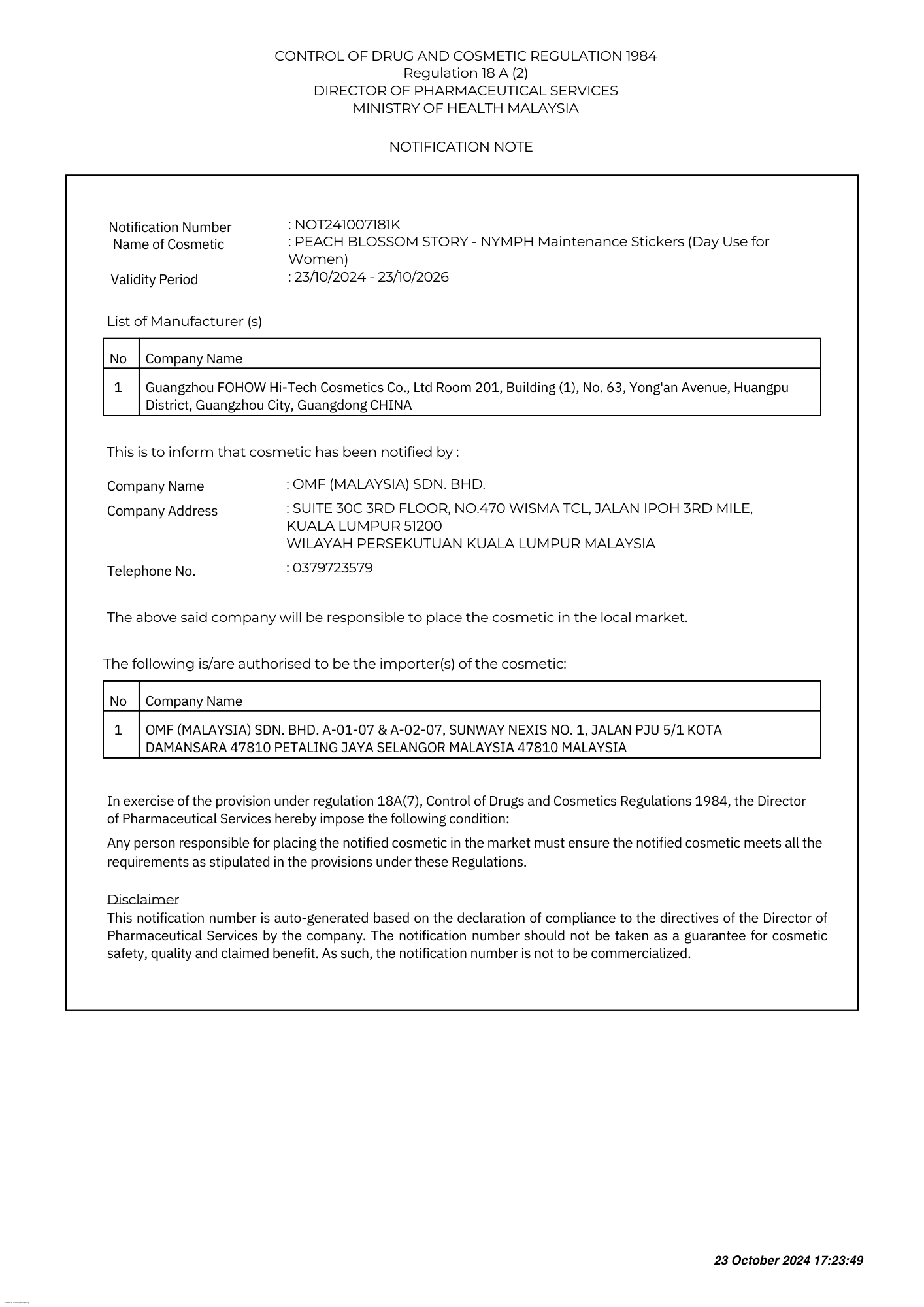
Certificates & Reports
NPRA Certificate


IMU Test Report
Halal Certificate
