Magic Silk
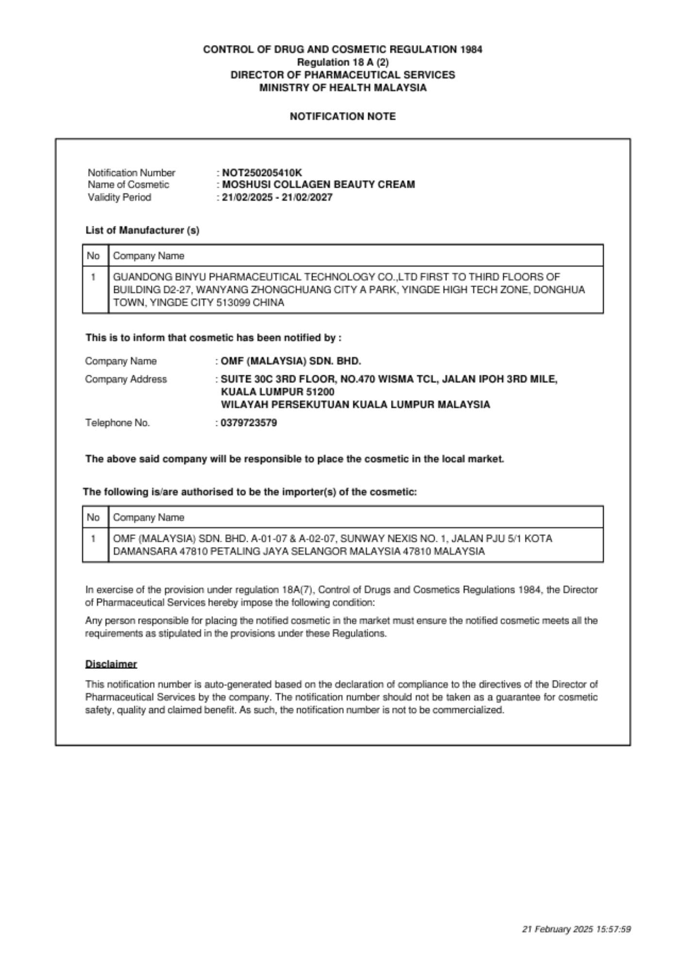
COLLAGEN BEAUTY CREAM
35g / 50upv
RM218.40
Available In Other Currencies
US
USD
- US Dollar
$52.00
Product Description


Directions for use : Take an appropriate amount of this product in your palm, apply it to your face, and gently massage until absorbed.
Precautions:
- Please keep out of reach of infants to avoid accidental ingestion.
- Conduct a patch test before use. Discontinue if discomfort occurs.
Storage: Avoid direct sunlight and store at room temperature.
Ingredients: Water, mineral oil, glycerin, hydrogenated castor oil esters, ethylhexyl palmitate, CI 77891, sorbitan oleate, isohexadecane, polyglyceryl-10 isostearate, Lactobacillus/soybean extract fermentation product filtrate, PEG-30 dihydroxystearate, petrolatum, butanediol, hydrogenated butter resin, magnesium stearate, sodium polyacrylate, aluminum distearate, phenoxyethanol, CI 77947, methylparaben, perfluorooctylethoxyliethoxysilane, magnesium palmitoylglutamate.
Certificates & Reports
NPRA Certificate

IMU Test Report
